Sistemas de Muchas Partículas

    En publicaciones anteriores hablamos sobre cómo la fuerza y el trabajo afectan a un objeto, pero ahora veremos cómo los objetos interactúan entre sí y cómo las propiedades estudiadas anteriormente se ven afectadas por esto.

    Un sistema de partículas significa un grupo de partículas interrelacionadas. La teoría de muchas partículas proporciona la base para comprender el comportamiento macroscópico de vastos conjuntos de partículas que interactúan entre sí. Uno de los problemas más comunes estudiados por esta teoría son los cuerpos rígidos, pero para poder trabajar en este problema primero debemos entender el fundamento sobre el cual se construye esta teoría de muchas partículas. Para lograr esto, discutiremos la idea de centro de masa, momento lineal y colisiones. Esta es solo una introducción al sistema de partículas y usaremos algunos conceptos de cálculo para derivar algunas de las ecuaciones. 

Centro de masa

    Considere un sistema de muchas partículas. Si aplicamos la segunda ley de Newton a la i-ésima partícula del sistema, tenemos.

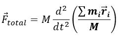
    Podemos reescribir la aceleración como la segunda derivada de la posición (en este caso usaremos r como posición independiente de cualquier dirección axial). Dado que la segunda ley de Newton se trata de la fuerza neta, la fuerza total sobre el sistema es la suma de las fuerzas que actúan sobre todas las partículas N:

    Del cálculo sabemos que “la suma de las derivadas es la derivada de la suma”, entonces
    Multiplicando y dividiendo el lado derecho por la masa total M = \sum {{m_i}} , y distribuyendo esta constante M a través de la diferenciación, tenemos 

    PODEMOS HACER ESTO PORQUE ES BÁSICAMENTE SIMPLEMENTE MULTIPLICAR POR 1 YA QUE M/M = 1.

    El área sombreada es lo que definimos como el centro de masa.

(1)

    El centro de masa es una posición promedio de todas las masas involucradas en una configuración específica. Es como esta posición donde todas las masas están equilibradas y la fuerza neta es cero. Veamos algunos ejemplos.

Ejemplo 1. Centro de masa de pesas

    Queremos encontrar el centro de masa de una barra de 1.8 m de longitud con masa despreciable y dos pesas de 35 y 60 kg respectivamente.

    Con las dos masas sobre el mismo eje, esto se convierte en una situación unidimensional. Nuestra ecuación para el centro de masa es.

    Todavía tenemos que definir la posición de las masas. Para continuar necesitamos aplicar un sistema de coordenadas. Como siempre, las elecciones de coordenadas son arbitrarias, por lo que la elección que hagamos puede simplificar o hacer que sea más difícil de resolver, pero la respuesta que obtengamos será válida para la elección que hagamos. Lo que haré es elegir x = 0 en dos posiciones diferentes; primero en m1 y x+ a la derecha, y luego en m2 y x+ a la izquierda y ver qué valor obtenemos para nuestro centro de masa.
  • x = 0 m at m1 y x+ a la derecha.
    
    El centro de masa se encuentra a 1.14 m a la derecha de m1.

  • x = 0 at m2 y x+ a la izquierda.

    El centro de masa se encuentra a 0.66m a la izquierda de m2.

    Si notamos que las dos cantidades sumadas dan la longitud total e independientemente de la elección del sistema de coordenadas, el punto donde se supone que está el centro de masa es el mismo (básicamente, no importa desde dónde lo midamos, estará siempre en el mismo lugar).

Ejemplo 2. Centro de masa en un plano 2D

    El arreglo es un triángulo equilátero de longitud L. si las tres masas son iguales, el centro de masa es equidistante de todas las masas, pero si tuviéramos que elegir m1 = m3 y m2 = 2m1, el centro cambiará porque la distribución de masa cambió.

    Cuando tenemos más de un eje involucrado en el cálculo, podemos encontrar el centro de masa evaluando cada eje individualmente. La respuesta serán las coordenadas donde se debe ubicar el centro de masa. Una vez más, debemos elegir una coordenada que pueda simplificar nuestros cálculos.

  • Para las tres masas iguales entre sí (m1 = m2 = m3) y un sistema de coordenadas centrado en m2 podemos extrapolar la siguiente información.

    Como el triángulo es un triángulo equilátero, todos los ángulos internos miden 60 grados. Elegí un sistema de coordenadas centrado en m2 con x+ a la derecha e y+ hacia abajo. La posición de m2 es el origen (x2=0, y2=0). La altura de las masas m1 y m3 es la misma y usando las propiedades del coseno podemos encontrar la altura del triángulo que también es igual al valor de y1 e y3.

    El centro de masa con respecto a x.

    Como el triángulo es equilátero, la distancia x3 y x1 tienen el mismo valor absoluto, por lo tanto, xCM = 0.

    El centro de masa con respecto a y.

    Las coordenadas para el centro de masa son (0, 0.58L).

  • Si m1 = m3 y m2 = 2m1, ¿Cuál será el centro de masa?

    Elegí el mismo sistema de coordenadas y simplemente cambié las masas en la ecuación.

Con respecto a x.

Con respecto a y.

    Las coordenadas para el centro de masa son (0, 0.43L).

La materia como fuente continua

Una hoja de metal es un excelente ejemplo de materia continua

    Hasta ahora hemos estudiado la materia como un punto en el espacio, pero sabemos que está compuesta de partículas individuales, y calcular el centro de masa de cada partícula individual puede ser una tarea bastante tediosa, por lo que la consideramos como una distribución continua. Al considerar la materia continua como compuesta de piezas individuales de masa mi, con vectores de posición ri, llamamos a estas piezas elementos de masa. El centro de masa de todo el trozo está dado por \sum {\frac{{\Delta {m_i} \cdot r{}_i}}{M}} . En el límite, a medida que el elemento de masa se vuelve arbitrariamente pequeño, esta expresión se convierte en una integral.

    Discutiremos la idea más profundamente cuando la revisemos en el futuro.

Momento lineal

    En la publicación La fuerza parte 2, introducimos momentum, más específico momentum lineal. Algunas versiones de español lo llaman impulso, ímpetu o momento lineal, personalmente yo estoy acostumbrado a la terminología inglesa de momentum por lo que me estaré usando las palabras momento o momentum sin pensarlo. El momento lineal lo definimos como.
(2)
    Este es un vector y tiene un rol importante en los sistemas de muchas partículas. El momento de un sistema de partículas es la suma vectorial de los momentos individuales.


    Donde mi y vi son las masas y velocidades de cada partícula, pero seguir cada momento individual es una locura. Imaginemos una colección de dominós y tenemos que calcular el momento inicial y su distribución entre dómino y dómino, o un vehículo que choca con un árbol, debemos contar por el ángulo en que se produce el impacto, si el árbol se rompió o no y cuantas hojas cayeron del árbol con el impacto. Una forma más fácil de hacer esto es reescribiendo nuestra fórmula de momento para adaptarla a un sistema de muchas partículas y ver qué propiedades podemos encontrar. Para ello voy a empezar reescribiendo la velocidad como una derivada de la posición r.
(3)

    Esta última forma se parece a la fórmula para el centro de masa, por lo que podemos multiplicar y dividir por la masa total del sistema M.

(4)
    Donde 
 es la velocidad del centro de masa. ¿Qué significa esto? La expresión es similar al momento de una partícula individual. No necesitamos conocer cada movimiento en un cuerpo complejo, solamente su centro es suficiente como el caso del vehículo que choca con el árbol no necesitamos calcular el movimiento de cada hoja o el movimiento de cada tornillo en el vehículo al momento de impacto podemos simplificar el problema usando sus centros de masa.
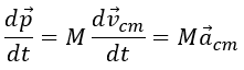
    Si diferenciamos la ecuación 4 con respecto al tiempo tenemos. 
(5)
    Donde 
 es la aceleración del centro de masa. Este centro de masa que originalmente definimos obedece la segunda ley de Newton, así que.
(6)
    Con F como la fuerza externa neta, ya que según la tercera ley de Newton las fuerzas internas en un sistema se cancelan en pares podemos ignorarlas y solo se consideran las fuerzas externas a menos que sean especificadas.
(7)
    Hay un caso especial cuando la fuerza externa neta es cero.

    Cuando el momento es constante decimos que es conservado (lo que entra es lo mismo que sale). Esta es una de las leyes más fundamentales de la física.

  • Conservación de momento lineal: cuando la fuerza externa neta de un sistema es cero, el momento total del sistema es constante.

    Conservación de momento se mantiene no importa cuántas partículas hay en el sistema ni como sea este movimiento. Este aplica a sistemas que van desde átomos hasta colisiones de vehículos y hasta galaxias. Esta ley es una de las más universales.

Ejemplos De Conservación Del Momento

    Cuando se dispara una bala desde un arma, tanto la bala como el arma están inicialmente en reposo con un momento total cero. Cuando se dispara la bala, acelera hacia adelante y, como resultado de la conservación, el cañón del arma adquiere un impulso hacia atrás. La cantidad de momento total antes de disparar una bala es cero y la cantidad de movimiento total después también debe ser cero, lo que implica que la cantidad de movimiento de la bala y la del cañón son iguales en magnitud, pero en direcciones opuestas.

    El momento total en la propulsión de un cohete es cero. Antes de la eyección, el cohete obtiene una velocidad de rebote y una aceleración en la dirección opuesta debido al gas de eyección, como resultado de la conservación del momento.

Energía Cinética De Un Sistema

    La conservación de momento lineal nos dice que en un sistema de partículas los detalles individuales de las partículas no afectan su velocidad o trayectoria sino el movimiento de su centro de masa y este momento será el mismo al principio y al final. Sin embargo, lo mismo no aplica para la energía cinética de un sistema. Si vemos el caso de un petardo (un pequeño explosivo como fuegos artificiales), este retiene el mismo momento lineal antes y después de explotar, pero su energía cinética ha sufrido un cambio bastante obvio y drástico.

    En la publicación sobre “trabajo, energía y potencia” definimos la energía cinética como

(8)
    La energía cinética total de un sistema es simplemente la suma de las energías cinéticas de las partículas constituyentes.


Pero la velocidad vi de una partícula se puede escribir como una suma vectorial de la velocidad del centro de masa vcm y una velocidad relativa al centro de masa de una partícula vrel. Entonces la energía cinética total se reescribe.
    
    La velocidad del centro de masa es común a todas las partículas, por lo que se puede factorizar dejando el primer término como la suma de todas las masas (masa total M) que se convierte en la energía cinética del centro de masa. El segundo término se convierte en el momento total relativo al centro de masa, pero este término es cero. El tercer término explica las energías cinéticas individuales en un marco de referencia que se mueve con el centro de masa, llamemos energía cinética interna Kint.
(9)
    La energía cinética del centro de masa depende únicamente del movimiento del centro de masa. La energía cinética interna depende únicamente de los movimientos de las partículas individuales en relación con el centro de masa. En nuestro ejemplo del petardo, la energía cinética del centro de masa no cambia cuando el petardo explota, pero la explosión aumenta drásticamente esta energía interna.

Ahora pueden seguirnos y contactarnos a través de Facebook, Twitter y correo electrónico.

 También pueden seguir nuestro otro blog si les interesa aprender sobre las matemáticas. 

Comentarios

Entradas más populares de este blog

Premio Nobel en Fisica 2021

Celebrando el décimo aniversario del descubrimiento del bosón de Higgs.

Solución a Problemas de Conservación de Energía