Gravedad
¿De dónde proviene la idea que la Tierra gira alrededor del sol? ¿Qué es exactamente la gravedad? ¿Fue Newton el primero en proponer un modelo de la gravedad? ¿Cómo se mantienen los satélites en órbita? ¿Qué experimentos se pueden realizar para comprobar los efectos de la gravedad? Este es uno de los temas que más controversia ha causado recientemente con el resurgimiento del movimiento de la tierra plana, y me tomo mucho tiempo preparar este material lo más sencillo y conciso que pude y para el final de leer esto posiblemente tendremos una respuesta para estas y otras preguntas. Espero que les guste.
Heliocentrismo
El heliocentrismo es un modelo astronómico donde la Tierra y los planetas se mueven alrededor del Sol. La palabra heliocentrismo es una combinación de las palabras Helio (antigua forma griega para referirse al Sol) y centrismo (refiriéndose al centro). El heliocentrismo se oponía al geocentrismo que colocaba la Tierra en el centro del universo. La idea fue propuesta por Aristarco de Samos en el siglo III a.C. quien después de estudiar la distancia y el tamaño del sol determino que el sol es mucho más grande que la tierra por lo cual debía ser el centro. Aunque sus trabajos originales no sobrevivieron el paso del tiempo (posiblemente debido al incendio de la biblioteca de Alejandría) lo que sabemos sobre él es a través de citas en los trabajos de Plutarco y Arquímedes. Aunque su idea era respaldada por datos experimentales, esta fue refutada por el geocentrismo debido a que sus promotores eran personas de mayor renombre, personajes como platón y Aristóteles, no fue hasta la llegada del renacimiento (1543) cuando esta teoría fue repostulada por Nicolas Copérnico.
En su libro “De Revolutionibus Orbium Coelestium” (Sobre las Revoluciones de las Esferas Celestes), Copérnico paso 25 años desarrollando su modelo heliocéntrico del universo y no fue hasta el año de su fallecimiento que decidió publicarla debido a la revolución que ocasionaría y miedo a la persecución. Las ideas principales de su teoría eran:
- Los movimientos celestes son uniformes, eternos, y circulares o compuestos de diversos ciclos (epiciclos).
- El centro del universo se encuentra cerca del Sol.
- Orbitando alrededor del Sol, en orden, se encuentran Mercurio, Venus, la Tierra, la Luna, Marte, Júpiter y Saturno (aún no se conocían Urano y Neptuno).
- Las estrellas son objetos distantes que permanecen fijos y por lo tanto no orbitan alrededor del Sol.
- La Tierra presenta tres movimientos: la rotación diaria, la revolución anual, y la inclinación anual de su eje.
- El movimiento retrógrado de los planetas es explicado por el movimiento de la Tierra.
- La distancia de la Tierra al Sol es pequeña comparada con la distancia a las estrellas.
Cincuenta años después de la
publicación de Copérnico, el danés Tycho Brahe inicio un programa de
observación planetaria precisa el cual su asistente Johannes Kepler
continuo hasta crear las leyes del movimiento planetario las cuales fueron
posibles tras abandonar el movimiento circular y optar por el movimiento elíptico.
Las leyes establecen tres principios importantes.
- Todos los planetas se desplazan alrededor del Sol describiendo órbitas elípticas. El Sol se encuentra en uno de los focos de la elipse.
- El radio vector que une un planeta y el Sol recorre áreas iguales en tiempos iguales. Los planetas se mueven con velocidad areolar constante. Es decir, el vector posición r de cada planeta con respecto al Sol barre áreas iguales en tiempos iguales.
- Para cualquier planeta, el cuadrado de su período orbital es directamente proporcional al cubo de la longitud del semieje mayor de su órbita elíptica.
Estas leyes fueron basadas en
observaciones sin ninguna explicación teórica (Kepler sabia como se movían los
planetas pero no el por qué). Estas ideas fueron validadas con las
observaciones de Galileo al descubrir cuatro lunas orbitando Júpiter y
las fases de Venus, lo que causó gran controversia y disrupción entre ciencia y la iglesia católica, pero después de
casi dos siglos desde la postulación de Copérnico todo termino con la teoría
gravitacional de Newton.
Gravitacion Universal de Newton
Dice la leyenda que Newton
estaba sentado bajo un árbol de manzana cuando una manzana le cayó en la cabeza
causando el descubrimiento de la gravedad (más bien notando su efecto, la
gravedad no fue descubierta). Si la historia es cierta también lo es la otra
parte de la historia que newton estaba mirando la luna cuando la manzana lo
golpeo, lo que le permitió reconocer el efecto de la gravedad. De ahí Newton
indujo que todo en el universo obedece las mismas leyes físicas. Newton postulo
que dos partículas en el universo ejercen una fuerza de atracción el uno al
otro con una magnitud.
La fuerza de gravedad actúa entre dos partículas, es decir m1 ejerce una fuerza de atracción en m2 y m2 ejerce una fuerza igual pero en dirección opuesta sobre m1, por lo tanto estas obedecen la tercera ley de Newton.
La ley de gravitación universal de Newton
se aplica estrictamente solo a partículas puntuales que no tienen extensión ni
estructura interna. Pero, como demostró Newton usando su cálculo recién
desarrollado, también es válido para objetos esféricamente simétricos de
cualquier tamaño si la distancia r se mide desde sus centros. También se aplica
aproximadamente a objetos de forma arbitraria siempre que la distancia entre
ellos sea grande en comparación con sus tamaños. Un ejemplo de esto es calcular
la aceleración gravitatoria a 380 km de altitud donde se encuentra la
Estación Espacial Internacional.
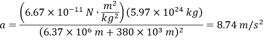
La distancia r se mide desde el
centro del objeto que proporciona la fuerza gravitacional, usamos el radio de
la Tierra (6.37 × 106 m) más la distancia dada.
Como podemos ver, nuestro
resultado para la Tierra es justo lo que esperábamos. La aceleración en la
estación espacial es más baja pero aún alrededor del 90% del valor de la
superficie. El radio de la Tierra, la constante gravitacional y la masa de la
Tierra son valores que usamos para hacer estos cálculos, pero ¿Cómo exactamente
fueron estos valores medidos? No podemos exactamente poner el planeta en una
balanza y pesarlo para saber su masa, ni podemos usar una cinta métrica para
medir el radio de la tierra, entonces ¿Cómo fueron estos valores calculados?
El radio de la Tierra fue
referenciado por primera vez en el libro de Aristóteles pero su primera medida
fue hecha por Eratóstenes en el siglo III a.C. el determino radio de la tierra
usando la sombra producida por sol en el solsticio y midiendo el ángulo que
este formo. Con este ángulo el aproximo la circunferencia de la Tierra y de ahí
su radio a ser de 400, 000 estadios. Con un margen de error entre 15% y 1%,
esto es más asociado a la incertidumbre moderna sobre a qué longitud de
estadios se referían.
Uno de los experimentos que
ayudaron al cálculo de la constante gravitacional fue el experimento realizado
por Henry Cavendish en 1798. Aunque este no fue su propósito principal, este
experimento ayudo a calcular la constante gravitacional y de ahí inferir la
masa de la Tierra.
En su experimento Cavendish montó dos esferas de plomo de 5 cm de diámetro en los extremos de una varilla suspendida de una fibra delgada. Luego acercó dos esferas de plomo de 30 cm. Su atracción gravitacional provocó un ligero movimiento de las pequeñas esferas, torciendo la fibra. Conociendo las propiedades de la fibra, Cavendish pudo determinar la fuerza. Con las masas conocidas y su separación, luego usó la Ecuación 1 para calcular G. con el conocimiento de G y el radio de la Tierra, entonces se puede resolver la ecuación para encontrar el valor de la masa del planeta.
La gravedad es la más débil de las fuerzas fundamentales y, como sugiere
el experimento de Cavendish, la fuerza gravitacional entre los objetos
cotidianos es insignificante. Sin embargo, la gravedad da forma a la estructura
a gran escala de la materia y, de hecho, al universo entero. Esto se debe a que
la gravedad siempre ha sido una fuerza de atracción, ya que no existe la masa
negativa.
Movimiento Orbital
Una órbita es la trayectoria curva de un objeto. El movimiento orbital
ocurre cuando un objeto se mueve hacia adelante y al mismo tiempo es atraído
por la gravedad hacia otro objeto. Si tuviéramos que lanzar un proyectil
horizontalmente desde una montaña alta, este se movería en línea recta si no
actuara ninguna fuerza sobre él, pero a medida que el objeto siente la fuerza
de la gravedad, comienza a curvar su trayectoria de manera que sigue la
curvatura de la Tierra. acercándose cada vez más al centro de la Tierra
comportándose exactamente como dicta la segunda ley de Newton, pero ¿por qué no
vemos satélites y la estación espacial internacional chocando con la Tierra?
esta pregunta es muy aristotélica y, como hemos explicado, los objetos están
cayendo hacia la Tierra, por lo que para mantenerlos en órbita durante largos
períodos debemos reajustar sus órbitas de caída cada cierta cantidad.
Sabemos cómo calcular la fuerza requerida para mantener un objeto en
movimiento circular y podemos aplicar esto para encontrar su velocidad orbital.
Una de las cosas que más nos
interesa conocer es el periodo orbital o la cantidad de tiempo que se toma en
completar una órbita. Como el periodo es el tiempo y la velocidad es la
distancia recorrida por unidad de tiempo, esta distancia es dada por su circunferencia.
La ecuación 4 nos
permite conocer el periodo orbital. Esto es en acuerdo con la tercera ley de
Kepler. Ya hemos calculado la gravedad en estación espacial pero que tal su
velocidad y periodo? Esto es bastante directo ya que conocemos los valores que
necesitamos para la ecuación 2 y 4, así que.
v=7.7 km/s
Este ejemplo muestra que el
período orbital cercano a la Tierra es de unos 90 min. El período orbital de la
Luna tarda 27 días en completarse. Entonces, debe haber una distancia donde el
período orbital sea de 24 horas, lo mismo que la rotación de la Tierra. Un
satélite a esta distancia permanecerá fijo con respecto a la superficie
terrestre siempre que su órbita sea paralela al ecuador. Los satélites de
televisión, meteorológicos y de comunicación a menudo se colocan en esta órbita
geosincrónica. Puede hacer los cálculos usted mismo usando la ecuación 4
por un período de 24 horas o 86, 400 segundos y resolver la ecuación para r.
Energía Gravitacional
¿Cuánta energía se necesita
para impulsar un satélite a una altitud de órbita cercana a la tierra o más?
Usar la ecuación mgh para la energía potencial no será suficiente para
determinarla ya que el valor de g cambia con la distancia. Como hemos
visto antes, cuando tenemos un problema en el que una de las variables cambia
constantemente, aplicamos cálculo para resolverlo (ya que el cálculo se trata
de comprender el cambio), y en este caso particular podemos usar la integral
para resolverlo.
Para los casos en los que
usamos la fuerza de la gravedad, este vector de fuerza apunta radialmente hacia
adentro mientras que el elemento de trayectoria dr apunta radialmente
hacia afuera creando vectores de direcciones opuestas con una diferencia de 180°
(y el coseno de 180° es -1), por lo tanto.
Cuando r1 < r2,
ΔU es positivo mostrando que la energía
potencial aumenta con la altura. Una característica interesante es que la
diferencia de energía potencial sigue siendo finita incluso cuando los puntos
están infinitamente separados. Aunque la fuerza gravitacional siempre actúa, se
debilita tan rápidamente que su efecto es finito incluso en distancias
infinitas. Esta propiedad hace que sea conveniente fijar el cero de la energía
potencial en el infinito y con r1 = ∞ tenemos una expresión
para la energía potencial a una distancia arbitraria r de un centro
gravitatorio.
(6)
Si creamos un gráfico de energía sobre la
distancia, veremos algunas propiedades interesantes.
Un objeto con energía total cero o mayor
puede escapar infinitamente lejos de un cuerpo gravitatorio, para nunca
regresar. Para lograr algo así debemos analizar el caso de la energía total
para energías de cero o mayores.
La velocidad v aquí
que hace que la energía total sea cero se llama velocidad de escape.
Resolviendo para v en la ecuación anterior se obtiene la velocidad de escape.
Si calculamos la velocidad de escape en la superficie de la Tierra,
encontramos que es de 11,2 km/s. Las naves espaciales planetarias tienen
una velocidad mayor que esta, mientras que las naves espaciales que orbitan la
Tierra tienen velocidades más bajas.
En el caso especial de una órbita circular, las energías cinética y
potencial se relacionan de manera sencilla. Podemos reescribir la energía
cinética usando la ecuación 2 para la velocidad de escape.
La energía total entonces se ve así.
Comparando las dos energías, podemos reescribir la energía potencial U
= -2K para que la respuesta de la energía total tenga sentido. La energía
total en estas ecuaciones es negativa, lo que muestra que las órbitas
circulares están limitadas. Esta ecuación final nos dice que una energía
cinética más alta corresponde a una energía total más baja. Este sorprendente
resultado se debe a que una mayor velocidad orbital corresponde a una órbita
más baja, con menor energía potencial.
Nuestra descripción de la gravedad hasta ahora sugiere que un cuerpo
masivo como la Tierra de alguna manera "se extiende" a través del
espacio vacío para atraer objetos. Una visión alternativa sostiene que la
Tierra crea un campo gravitacional y que los objetos responden al campo en su
vecindad inmediata. Este campo gravitacional es representado con vectores que
apunta hacia el centro viniendo de todas direcciones. Podemos expresar el campo
vectorial rescribiendo la ecuación.
Donde es vector
unitario.
Si quieren aprender más sobre la historia de este tema les recomiendo leer “La historia de los sistemas planetarios: de Tales a Kepler (History of the Planetary Systems from Thales to Kepler) Por John Louis Emil Dreyer”; El y la Naturaleza en el renacimiento (Man and nature in the renaissance) por Allen G Debus; y Moviendo el cielo y la tierra: Copérnico y el sistema solar (Moving Heaven and Earth: Copernicus and the solar system) por John Henry.
Ahora pueden seguirnos y contactarnos a través de Facebook, Twitter y correo electrónico.
- Facebook: https://www.facebook.com/JMDFisica
- Twitter: @JMDciencias
- Correo: institutodecienciasjmd@hotmail.com
También pueden seguir nuestro otro blog si les
interesa aprender sobre las matemáticas.
- Facebook: https://www.facebook.com/AprendeMatematicasJMD
- Blogger: aprendematematicasjmd.blogspot.com


















Comentarios
Publicar un comentario