Trabajo, Energía y Potencia

    Definimos el trabajo en un sentido cotidiano como cualquier actividad que requiere un esfuerzo muscular o mental y usamos la connotación de energía cuando nos sentimos cansados o indicamos cuanto esfuerzo es requerido para lograr una tarea determinada como mover un sofá, ayudar a un amigo a mudarse, o La diferencia entre levantar una silla a la vez y 10 sillas al mismo tiempo. Todos estos son ejemplos de trabajo y energía.

    Estas actividades tienen algo en común, para realizar este trabajo es necesario aplicar una fuerza sobre un cuerpo mientras este se mueve. El trabajo W que experimenta un objeto en un momento dado es determinado por el desplazamiento d que experimenta dicho objeto por una fuerza aplicada F.

(1)

    La fuerza no tiene que ser la fuerza neta en el objeto sino la fuerza que afecta la dirección del movimiento. las unidades de trabajo son el newton-metro y esta recibe el nombre de Julio o Joule en honor al físico ingles James Prescott Joule. La fuerza en si es una magnitud vectorial y la distancia también así que para poder hacer este tipo de calculaciones usamos lo que se conoce como el producto interno o producto escalar para calcular el trabajo. Esto implica que el trabajo en si no es un vector sino una magnitud escalar. También indica que la dirección en que se aplica la fuerza y la dirección de movimiento afectan el trabajo.

(2)


    Como se puede apreciar en la parte a) la persona hace un trabajo igual al desplazamiento por la fuerza aplicada, en la parte b) la fuerza aplicada está a un ángulo así que solo el componente de la fuerza que afecta la dirección de movimiento hace un trabajo los demás componentes pueden ser ignorados. Finalmente vemos en la parte c) que el componente de la fuerza y el desplazamiento son perpendiculares y esto no afectan el uno al otro así que no trabajo es ejercido en este ejemplo.

    Pero las fuerzas no siempre son constantes o estáticas. Las fuerzas pueden variar dependiendo su posición como la fuerza gravitacional, o la fuerza eléctrica, incluso la fuerza de un resorte varia con su posición mientras este se comprime.

    Si fuéramos a graficar una fuerza cambiante con respecto a la posición F(x), en el intervalo x1 a x2, el área que calculamos debajo de la gráfica nos diría el trabajo realizado,


pero nosotros no podemos simplemente calcular la fuerza en el intervalo F(x2 - x1) pues en este caso la fuerza no es constante. Lo que si podemos hacer es dividir la región en pequeños cuadrados de ancho Δx y área igual a F(x)Δx que nos permita aproximar el trabajo.

    Si sumamos todos los pequeños rectángulos tendremos una aproximación del valor del trabajo y mientras más pequeños hagamos los rectángulos más precisos será nuestra aproximación. Que tan precisos pueden ser? Si hacemos los rectángulos infinitésimamente pequeños entonces el número de rectángulos que debemos sumar crecerá al infinito. En el límite de infinitos rectángulos infinitesimalmente pequeños, la aproximación se vuelve exacta por lo que tenemos que la suma sobre todos los rectángulos infinitesimales entre x1 y x2 es dada por.
(3)
(4)

    Si has estudiado un poco de cálculos reconocerás esta expresión como una integral definida. Con su propio símbolo.
(5)

    Como habíamos descrito anteriormente, en esta ocasión no usaremos cálculos para los problemas que vamos a presentar, solo la usaremos para derivar las fórmulas y postulados que necesitamos. Cuando regresemos al tema entonces lo veremos desde un punto de vista más profundo y ahí si haremos uso de las técnicas de cálculos. por ahora es importante recordar que en cálculos las integrales y derivadas son procesos inversos.

    La derivada de xn es igual a nxn-1. Mientras tanto la integral de xn en el intervalo x1 a x2 es.


    Donde el proceso usado es el de la antiderivada. Si no estas familiarizado con las integrales entonces sugiero que leas sobre ellas primero, pero solo usaremos estas técnicas para derivar ciertas conclusiones no como requisito. Para ello veamos un ejemplo con la fuerza de un resorte.

    Como habíamos descrito anteriormente la fuerza de un resorte es dada por F= -kx. El signo menos muestra que la fuerza del resorte es opuesta a la dirección del desplazamiento, pero no son solo los resortes en espiral lo que nos interesa aquí; muchos sistemas físicos, desde moléculas hasta rascacielos y estrellas, se comportan como si contuvieran resortes.

    La fuerza ejercida por un resorte estirado es -kx, por lo que la fuerza ejercida sobre el resorte por la fuerza de estiramiento externa es + kx. Si consideramos la posición en reposo del resorte como x=0 y halamos el resorte hasta estar en una nueva posición x, entonces el trabajo realizado en el resorte por la fuerza externa es.



    Cuanto más estiramos el resorte, mayor es la fuerza que debemos aplicar, y eso significa que debemos hacer más trabajo para una determinada cantidad de estiramiento adicional. La integral calcula el area debajo de la curva de una grafica en el intervalo dado. Si vemos la grafica de la fuerza de un resorte con respecto a su posicion  tendremos una forma similar a un triangulo. el area de un triangulo se calcula con la formula 1/2*base*altura en este caso la base es el eje x y la altura es el eje y.

  


    En el caso del trabajo hecho con respecto a la gravedad sabemos que la fuerza de gravedad la podemos calcular usando F = mg. Como la gravedad afecta la posición vertical esto sería un cambio de altura que por lo general se representa con la letra h - pues en ingles la altura se dice height – pero también puede ser representada con y en el plano cartesiano. Así que el trabajo debido a la gravedad es dado por la fórmula. 

(6)


    Cercanamente relacionado al concepto de trabajo esta uno de los principios más importantes en física, la energía, más específico la energía asociada con el movimiento, la energía cinética. Si analizamos el trabajo neto realizado entonces debemos tomar en cuenta la fuerza neta. Usando la ecuación 5 podemos calcular para una distancia general, no necesaria de una dimensión, que vamos a denominar r. así que el trabajo neto será.

    Podemos usar la segunda ley de Newton para la fuerza neta que es nos da F = ma, y podemos reescribir la aceleración como la derivada de la velocidad para obtener la siguiente expresión.

    En cálculo, hemos visto que el límite de un producto o cociente es el producto o cociente de los términos individuales involucrados (puede visitar Fundamentos de Calculos - Limites parte 3 para más información). Por estas razones, podemos reorganizar los símbolos dv, dt y dr para reescribir nuestra expresión W.

    La expresión dr/dt es simplemente la velocidad en un sistema de coordenadas general, por lo que tenemos.

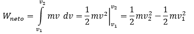
    Esta integral es bastante simple de resolver. Si la evaluamos en el intervalo de v1 y v2.

(7)

    La ecuación 7 nos muestra que un objeto tiene una cantidad ½ mv2 cuando el trabajo neto es calculado. Esta cantidad es conocida como energía cinética. La energía cinética K de un objeto de masa m que se mueve con velocidad v es dada por la formula 

(8)

    La energía cinética es una magnitud escalar y como depende del cuadrado de la velocidad, nunca es negativa lo que implica que todos los objetos que se mueven poseen energía cinética. La ecuación 7 nos dice que el cambio en energía cinética es igual al trabajo neto, esto se conoce como el teorema de trabajo y energía.

(9)

    Como el trabajo y la energía son iguales, la unidad de la energía es el Julio o Joule, sin embargo las unidades que se usan en el día a día son diferentes, por ejemplo, en la física nuclear la unidad de energía es el electronvoltio (ev); en termodinámica es la caloría (cal); la compañía eléctrica calcula el consumo de energía en kilovatio-hora (kW.h) también referido como kilowatt-hora. Esta ultima unidad está relacionada con la potencia.

    Al subir las escaleras se hace mas difícil subirlas corriendo que caminando, pero ¿En qué sentido es más difícil? Subir las escaleras requiere la misma cantidad de trabajo pero el tiempo que se toma entre subir las escaleras corriendo y subir las escaleras caminando es diferente. El ritmo del trabajo es mayor mientras menos tiempo se toma en ejecutar el trabajo. Definimos el ritmo al que hacemos trabajo como la potencia.

(10)

    Si una cantidad de trabajo ΔW se efectúa en una cantidad de tiempo Δt, entonces la potencia promedio es determinada por la expresión 10. Si el ritmo del trabajo cambia con el tiempo entonces definimos la potencia como la derivada del trabajo con respecto al tiempo.

(11)

    La ecuación 10 nos muestra que las unidades de la potencia es Julio/sec. Esta recibe el nombre de Vatio o watts en ingles en honor al ingeniero escoces James Watt.

    En el habla cotidiana, los conceptos de potencia y energía se confunden con frecuencia, pero hay que mantener presente que la potencia es igual a la energía dividida por el tiempo, es decir, la potencia es la tasa a la que se usa, genera o transfiere o la energía o se realiza el trabajo.

    Si la potencia es constante entonces podemos usar la ecuación 10 para encontrar el trabajo.

(12)

Cuando la potencia no es constante, podemos considerar pequeñas cantidades de trabajo, cada una de las cuales se realiza en un intervalo de tiempo tan pequeño que la potencia es casi constante la cual podemos añadir juntas y tomar el límite. 

(13)

Finalmente como hablamos de la potencia como el ritmo al cual hacemos trabajo es justo que podamos asociar la potencia con la velocidad. Para ello vamos a considerar el trabajo creado por una fuerza constante F que se mueve en dirección r.

Si el trabajo cambia con el desplazamiento entonces tenemos.

Si dividimos ambos lados por el intervalo de tiempo asociado, tendremos la potencia.

La derivada de la distancia con respecto al tiempo es la velocidad así que tenemos.

(14)


    Esto son los aspectos mas importantes a considerar para entender el trabajo. Aquí les dejo algunos ejercicios para practicar los conceptos aquí estudiados. En la próxima publicación daremos la respuesta a estos problemas.

  1.  ¿Cuánto trabajo ejerce una fuerza de 45 N para empujar un carrito de compras a través de un pasillo de supermercado de 23 m de largo?
  2. Una grúa levanta una viga de 837 kg verticalmente hacia arriba 17 m y luego la gira hacia el este 31 m. ¿Cuánto trabajo hace la grúa? Ignore la fricción y suponga que la viga se mueve con rapidez constante.
  3. ¿A qué velocidad debe moverse un automóvil subcompacto de 1250 kg para tener la misma energía cinética que un camión de 1.7 x 104 kg que viaja a 12 mph?
  4. Después de un tornado, se encontró una pajita de 0.75 g incrustada en un árbol de 2.8 cm. Las mediciones posteriores mostraron que el árbol ejerció una fuerza de detención de 58 N sobre la paja. ¿Cuál fue la velocidad de la pajita?
  5. Una dieta humana típica es de "2000 calorías" por día, donde la "caloría" que describe la energía alimentaria es en realidad 1 kilocaloría. Exprese 2000 kcal/día en vatios.
  6. ¿Cuánto trabajo puede hacer un motor de cortadora de césped de 4.2 hp en ½ h?


Ahora pueden seguirnos y contactarnos a través de Facebook, Twitter y correo electrónico.

 

 

También pueden seguir nuestro otro blog si les interesa aprender sobre las matemáticas. 

 





Comentarios

Entradas más populares de este blog

Premio Nobel en Fisica 2021

Celebrando el décimo aniversario del descubrimiento del bosón de Higgs.

Solución a Problemas de Conservación de Energía